广发体育官网首页
公司技术力量雄厚,生产工艺先进,设备设施完全配套,检测手段齐全.. [2012/09/20]
热烈庆祝公司网站成功上线!.. [2012/09/20]
产品介绍
在线订单
在线订单
产品介绍
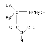
1-羟甲基-5,5-二甲基乙内酰脲

1-羟甲基-5,5-二甲基乙内酰脲,1-羟甲基-5,5-二甲基海因

分子式:C6H10N2O31-羟甲基-5,5-二甲基乙内酰脲
分子量:158.16

质量标准
外观:白色粉末
熔点℃:99-103
水份%:≤0.5
总甲醛含量%:≥18
PH值:5-6

应用范围
1-羟甲基-5,5-二甲基乙内酰脲(CAS NO:116-25-6)主要用于感光药品的螯合剂。洗发香波、护发素和化妆品的杀菌防腐剂。

包装
纸板桶,内衬聚乙烯袋,20kg/桶。





广发体育官网首页 中文版 English 设为首页 加入收藏 联系我们