|

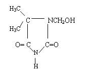
1,3-二羟甲基-5,5-二甲基海因,1,3-二羟甲基-5,5-二甲基乙内酰脲,DMDM乙内酰脲
分子式:C7H12N2O4
分子量:188.2
质量标准
外观:无色至淡黄色透明液体
有效物含量(%):55±2
PH值:6.0-8.0
凝固点:-11℃
相对密度:1.16g/ml(25℃)
热稳定性:良好。
概述
防腐杀菌剂1,3-二羟甲基-5,5-二甲基海因(CAS NO:6440-58-0)被广泛应用于化妆品和个人护理品。如洗发香波、护发素、剃须品、粉底、洗剂、膏霜,婴儿产品、防晒品和清洗剂等日化产品的防腐杀菌(需水冲洗的产品)。
应用范围
广谱杀菌剂,可有效防止G+、G-、真菌、酵母菌等,与阳离子、阴离子、非离子表面活性剂、蛋白质配伍性良好,被广泛应用于化妆品和个人护理品。如洗发香波、护发素、剃须品、粉底、洗剂、膏霜、婴儿产品、防晒品和清洗剂等日化产品的防腐杀菌。也可与碘代丙炔基丁基甲氨酸酯(IPBC)复配后用于化妆品中。
使用方法
在化妆品和个人护理品如洗发香波、护发素、剃须品、粉底、洗剂、膏霜、婴儿产品、防晒品和清洗剂等日化产品中,一般使用浓度为0.15-0.50%。
包装
25kg装聚乙烯塑料桶。
|